Select your preferred language:
沖縄科学技術大学院大学(OIST)発のスタートアップ、EFポリマーが Wedge Onlineに取り上げられました。 ...
OIST量子情報科学・技術ユニットと量子工学・デザイン ユニットの最新の研究がOptronicsに掲載されました。 OIS...
マウスモデルは、パーキンソン病をはじめとする神経疾患の治療薬の開発において、重要な役割を担っています...
Mouse models are central to drug development, including treatments for neurological disorders, such as Parkinson’s disease. Such diseases often affe...
沖縄科学技術大学院大とNTT、気象庁による共同研究が琉球新報の金口木舌で言及されました。 ...
沖縄科学技術大学院大学(OIST)の今後の在り方について議論する第2回検討会(益一哉座長)が5日、内閣府で開...
読谷村と沖縄科学技術大学院大学(OIST)は、10月開業予定の村立図書館や村史編集室などが入る「ゆんラボ・未...
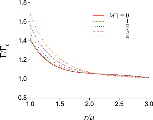
過去10年間以上にわたり、研究者たちは光子を用いた量子計算プロトコルである「ボソンサンプリング」を、量...
For over a decade, researchers have considered boson sampling—a quantum computing protocol involving light particles—as a key milestone toward dem...
Environmental DNA (eDNA) coral research at OIST was featured in Mongabay. ...